SPSS Veri Analizi ve SPSS Analizi Yaptırma Hizmeti
SPSS, istatistiksel analiz ve veri yorumlama amacıyla geliştirilen güçlü bir bilgisayar programıdır. Anket gibi sistematik veri toplama araçlarıyla elde edilen verilerin değerlendirilmesinde SPSS veri analizi yorumlama işlemleri büyük önem taşır. Ancak birçok öğrenci için bu program adeta bir kabusa dönüşebilir; çünkü SPSS analiz yorumlama süreci, belirli bir uzmanlık ve teknik bilgi gerektirir. SPSS kullanmayı profesyonel düzeyde öğrenmek, çoğu uzman için yıllar süren bir tecrübe gerektirmiştir. Eğer bu programa hâkim değilseniz, SPSS çıktısı yorumlama ve istatistik analiz aşamalarında ciddi zorluklarla karşılaşmanız kaçınılmaz olabilir.
İstatistik Analiz
SPSS Veri Analizi Nedir? Kimler İçin Gereklidir?
Öncelikle “Bunu biliyor muydunuz?” paylaşımları tadında kısa bir bilgi verelim; SPSS = “Statistical Package for the Social Sciences”. SPSS bildiği seviyede İngilizce bilenler için “Sosyal Bilimler için İstatistiksel Paket Program”. Yazılım dünyasındaki yeri de hayli eski (1968 ilk çıkış tarihi). SPSS her tür veriyi yorumlamak, düzenlemek ve analiz etmek için kullanılan bir yazılım.
SPSS’de yapılacak istatistik analiz işleri için kullanılan verilerin kaynakları da çeşitlilik arz ediyor; Kendi yaptığınız fiziksel anketlerden veya bir müşteri veri tabanından ya da Google Analytics / Forms benzeri platformlardan SPSS’e veri aktarımı mümkün. Google gibi bazı firmaların sunduğu anket ve form hizmetlerinin genelinde, SPSS’e veri aktarımını kolaylaştıran özellikler de mevcut. (Tabii analize kimse karışmıyor☹)
Ama siz, SPSS istatistik analiz işleri için Google’a muhtaç değilsiniz. Hatta sizin veri aktarmayla bile uğraşmanıza gerek yok.
İstatistik Analiz Dersinin Zorluğu
İstatistik analiz, ülkemizde İngilizce derslerinden sonra öğrenciler tarafından en az verim alınan derslerden biri olarak gösterilmektedir. Genellikle bu dersi alan 50 kişilik bir sınıfta yalnızca 1-2 öğrenci SPSS analiz yorumlama sürecini başarıyla gerçekleştirebiliyorsa, o sınıf istatistiksel olarak başarılı sayılabilir.
Ancak SPSS ile veri analizinin onlarca farklı yöntemi bulunduğu için, “istatistik analiz öğrendim” diyen kişilerin büyük çoğunluğu aslında yalnızca temel düzeyde birkaç SPSS veri analizi tekniğini uygulayabilmektedir. Hatta bu kişilere kendi uzmanlık alanları dışındaki bir konuda SPSS çıktısı yorumlama talebinde bulunduğunuzda yetersizlikler açıkça görülebilir. Elbette, çevrenizde bu işlemi doğru yapabilecek bir uzmanın bulunması da ayrı bir mesele olabilir.
Üniversitelerde sınav ve proje süreçlerinde zorluk çıkaran bazı akademisyenlerin dahi SPSS ile kapsamlı ve doğru bir analiz gerçekleştirecek bilgiye sahip olmadığını belirtmek gerekir. Çünkü hangi yazılım olursa olsun, analiz yapabilmek için öncelikle o yazılımın mantığını ve detaylı kullanımını öğrenmek şarttır. Sadece “bir tuşa bastım, sonuç çıktı” demek, istatistiksel analiz bilgisine sahip olmak anlamına gelmez.
Ayrıca SPSS programında binlerce verinin girilmesi ve analizinin yapılması saatler sürebilir. Bu işlemleri sağlıklı bir şekilde tamamlamak için SPSS programını hızlı ve doğru kullanmak önemlidir. Aksi halde süreç, hem zaman hem de motivasyon açısından oldukça yıpratıcı olabilir.
“Bilgisayar programı sonuçta, zor olamaz” diyerek bu derslere katılmayı gereksiz gören öğrencilerin, aşağıda sıralanan analiz türleri hakkında gerçek bir fikre sahip olup olmadıkları çoğu zaman tartışmalıdır.
SPSS Programında Yapılan Başlıca Analizler
- Değişkenlerin (Tekrar) Kodlanması
- Faktör Analizi
- Güvenilirlik Analizi
- Regresyon,
- Korelasyon Analiz
- T-Testi
- Ki-Kare Testi
- Varyans Analizi
- Örnek Seçimi
- Çapraz Tablolar
- Diyagram Ve Grafikler
- Raporlama
- Veri Dosyalarının Düzenlenmesi
Evet, belki istatistik analiz dersinde boy gösteren birkaç öğrenci, bu listeden üç kelimenin anlamını bize söyleyebilir. Ancak onların da bu listenin SPSS yazılımı içinde ne anlam ifade ettiğini tam olarak bildiğinden emin değiliz.
Tabii koskoca SPSS ve istatistik analiz biliminin bu liste ile sınırlı olmadığını da hatırlatmak isteriz. Biz sadece maddeleri daha fazla uzatıp, yer kaplamak istemedik.
SPSS Analiz Yaptırma
Neden mi SPSS analiz yaptırmalısınız? Çünkü şu anda SPSS veri analizi yorumlama sürecini sizin yerinize titizlikle yürütecek, tecrübeli ve profesyonel bir ekibe ulaşabileceğiniz doğru adrestesiniz.
Elinizde bulunan Excel, OpenOffice gibi yaygın dosya formatlarının yanı sıra .txt
ve .csv
gibi daha sade veri türleri, uzman ekibimiz tarafından detaylı bir şekilde analiz edilir. Hangi formatta olursa olsun, ihtiyaçlarınıza özel SPSS analiz yorumlama desteği veriyoruz. Üstelik henüz dijital ortama aktarılmamış fiziksel verilerinizin dönüştürülmesi ve düzenlenmesi de ekibimiz tarafından profesyonelce gerçekleştirilir.
Unutmayın; SPSS gibi gelişmiş istatistik programları genellikle ücretlidir ve lisansları oldukça maliyetlidir. Bu nedenle, bizden alacağınız SPSS çıktısı yorumlama ve analiz hizmeti sayesinde hem teknik engelleri aşarsınız hem de akademik standartlara uygun bir çalışma elde edersiniz.
Ayrıca, istatistik analiz süreci sadece yazılım bilgisiyle sınırlı değildir. Gözlerinizin kan çanağına dönmesine, saatlerce ekrana kilitlenmenize ve bel ağrılarıyla mücadele etmenize gerek kalmadan bu süreci bizimle güvenle tamamlayabilirsiniz.
Ekibimiz, yalnızca veri girişi yapmakla kalmaz; aynı zamanda elde edilen çıktıları detaylı şekilde yorumlar. SPSS ile çalışmak bizim için bir iş değil, uzmanlık alanıdır. SPSS analiz yorumlama hizmetimiz sayesinde sadece sayısal veriler değil, akademik açıdan anlamlı sonuçlar da elde edersiniz.
Aşağıda sizin için hazırladığımız örnek çalışmalara göz atabilirsiniz. Ne kadar detaylı ve anlaşılır bir raporlama sunduğumuzu kendi gözlerinizle göreceksiniz.
Sık Sorulan Sorular (SPSS Analizleri Hakkında)
SPSS nedir ve ne işe yarar?
SPSS, istatistiksel analiz yapmak için kullanılan profesyonel bir yazılımdır. Anket sonuçlarını, veri setlerini ve araştırma çıktılarınızı anlamlı sonuçlara dönüştürmenizi sağlar.
SPSS ile hangi analizler yapılır? Regresyon, korelasyon, faktör analizi, t-testi, ANOVA, güvenilirlik analizleri gibi çok çeşitli istatistiksel analizler yapılabilir. SPSS hizmeti alırken neye dikkat etmeliyim? Analizi yapacak kişinin akademik tecrübesi, yazılım bilgisi ve raporlama kalitesi çok önemlidir. Ayrıca danışman revizelerine uyum sağlayacak esneklikte çalışılmalıdır. Verilerim gizli tutulur mu? Evet. Tüm SPSS analiz hizmetlerinde veri gizliliğine %100 önem verilir. Verileriniz 3. şahıslarla asla paylaşılmaz.
Hangi Tür Analizlerde Destek Sağlıyoruz?
Araştırma ve anket tasarımı | Ölçek geliştirme ve uyarlama | Gözleme Dayalı Çalışmalarda istatistik |
Veri girişi | Geçerlilik güvenirlik analizi | Eğilim Skoru (Propensity Score) |
Tanımlayıcı istatistikler | Doğrulayıcı Faktör analizi | Olgu kontrol ve risk çalışmaları |
Tablo ve grafikler | Açımlayıcı Faktör analizi | Duyarlılık ve özgüllük |
Normallik analizi | Cronbach alfa | Sağ kalım analizleri |
Ki-Kare Analizi | Kruskal Wallis Testi | Regresyon Analizi |
Friedman Testi | Mann-Whitney U Testi | Lojistik Regresyon Analizi |
Cochran Q Testi | Wilcoxon Testi | Cox Regresyon Analizi |
Anova /mannova | Kruskal Wallis Testi | Roc analizi |
Spss İstatistiksel Analizlerin Yapılması
SPSS, sosyal bilimlerden sağlığa kadar pek çok alanda yaygın olarak kullanılan güçlü bir istatistik analiz programıdır. Araştırma sürecinizde elde ettiğiniz verilerin SPSS programına doğru şekilde girilmesi ve analiz edilmesi, sonuçların güvenilirliği açısından son derece önemlidir. Bu noktada SPSS veri analizi yorumlama süreci devreye girer.
Analiz süreci; anket çalışmalarının SPSS’e aktarılmasıyla başlar. Bu veriler üzerinden betimsel istatistikler hesaplanır, frekans ve yüzde dağılımları elde edilir. Özellikle SPSS çıktısı yorumlama aşaması, araştırmanızın başarısı için kritik öneme sahiptir. Çünkü doğru analiz kadar, bu analizlerin akademik bir dille ve anlaşılır biçimde raporlanması da önemlidir.
Veri analizi sürecinde yalnızca sayısal sonuçlar değil, bu sonuçların ne anlama geldiği de dikkatle değerlendirilmelidir. İşte bu noktada SPSS analiz yorumlama hizmetimiz, öğrencilerin en büyük destekçisidir. Her bir çıktının detaylı biçimde yorumlanması, araştırmanızın akademik geçerliliğini artıracaktır.
Ayrıca, SPSS’de yapılan analizlerin danışman taleplerine uygun olması, raporlama sürecinde doğru grafik ve tabloların kullanılması da profesyonel yaklaşımın bir parçasıdır. Verilerin düzenlenmesi, istatistiksel anlamlılık düzeylerinin değerlendirilmesi ve sonuçların bilimsel bağlamda yorumlanması, tüm sürecin başarılı şekilde tamamlanmasını sağlar.
Sonuç olarak, yalnızca verileri programa girmek yeterli değildir. Verilerin ne söylediğini anlamak, istatistiksel anlamda geçerliliğini analiz etmek ve danışmanınızın anlayacağı dilde SPSS çıktısını yorumlamak, uzman desteği gerektiren ciddi bir iştir. Bu süreçte yanınızda olmak ve SPSS analizlerinizi en doğru şekilde sunmak için buradayız.
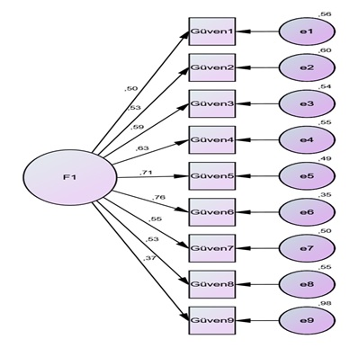
İstatistik Analiz Örnekleri













Anket soru örnekleri ve yorumlanması
Medeni Durumu | Evli ( ) | Bekar ( ) | |||
Mezuniyet Durumu | Eğitim Fakültesi ( ) | Fen Edebiyat Fakültesi ( ) | Eğitim Enstitüsü ( ) | Lisansüstü ( ) | Diğer…… |
Yaşınız | 20-30 Yaş ( ) | 31-40 Yaş ( ) | 41-50 Yaş ( ) | 51 ve üzeri ( ) |
Medeni durumunuz? | |||||
Frequency | Percent | Valid Percent | Cumulative Percent | ||
Valid | Evli | 8 | 26,7 | 26,7 | 26,7 |
Bekar | 22 | 73,3 | 73,3 | 100,0 | |
Total | 30 | 100,0 | 100,0 |
Spss Yorumlaması
Anketimize katılan katılımcılardan 8 kişi %26,7 oranında evli olduğunu, 22 kişi % 73,3’lük bir oranda olmuştur. Buradan anketimize katılan katılımcıların çoğunluğunun bekar olduğunu söyleyebiliriz. Buradan da kişilerin yaptıkları işe daha çok zaman ayıra bilecekleri söylenebilir.

5 li likert veri hazırlama
Spss likert 5’li verilerin istatistiklerinden ortalaması ve standart sapmalarının hesaplanmasının elde edilmesi ve yorumlanması (Mean, Std.)
Bu bölümde sosyal bilgiler eğitimine ilişkin görüşlerinizi öğrenmek amacıyla çeşitli sorular verilmiştir. Lütfen bu soruları kendi düşünceleriniz doğrultusunda; 1-Kesinlikle Katılmıyorum, 2-Katılmıyorum, 3-Fikrim Yok, 4-Katılıyorum, 5-Kesinlikle Katılıyorum, seçeneklerinden birini tik ( X ) koyarak cevaplandırınız. |
Likert Veriler

- Spss paket programında çapraz betimsel istatistik yapılması (Crosstabs)
- Spss istatistik programında verilerin ortalamasını alıp diğer verilerle karşılaştırılması (Compute Variable)
- Spss ile one way anova testi nedir. Birden fazla grubun aynı anda değerlendiren bir test (t- testi)
- Spss ile One Way Onova ile Independent Samples Test (t-test) karşılaştırması
- Tek yönlü varyans analizi
- Two Way Anova testi
- Çapraz Tablo (CrossTab) ve Ki Kare Analizi yapılışı
Detaylı bilgi vermeye çalıştık. Burada değinmediğimiz bir çalışma istiyorsanız bizimle iletişime geçebilirsiniz, daha net cevaplar verebiliriz.